XAUUSD エントリーシナリオ 2023年3月

トレーニング

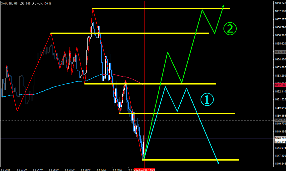
3/6(月)

基準ライン:戻り高値1852.585

インジ:裁量ラインと同等

戻り高値を上抜けない限りは下目線。

シナリオ①で推移。

3/7(火)

基準線

インジ:裁量ラインと同等。

戻り高値を抜けるまではショート目線。

シナリオ①で推移。但し黄色の最下段ライン(ダウ転換ライン)抜けで下落が加速。

3/8(水)

インジ:裁量ラインと同等

シナリオ

押し安値割れでシナリオ②に移行しかけたが、シナリオ①回帰。事前に引けていなかったが1823ラインまで上昇。

3/9(木)

基準ライン

インジ:裁量ラインと同等。

シナリオは1816付近を割らない限りロング。

シナリオ①で推移。

3/10(金)

基準ライン

インジライン

押し安を割らない限りはロング。

シナリオ①で推移。

3/13(月)

基準ライン。

インジライン

押し安値シナリオ

想定より押しが浅かったが、シナリオ①で推移。

3/14(火)

基準ライン

インジライン

戻り高値を抜けるまではショート。

1914の戻り高値は抜けなかったが、レンジ。

3/15(水)

基準ライン

インジライン

押しを買っていく。

押しは浅かったものの、シナリオ①で推移。

3/16(木)

基準ライン

インジライン

押し安値を割るまではロング。

NY前半がシナリオ①、1925が押し安になりそこを割ったところからショート目線。前日高値の切り下げも発生しているところがポイント。

3/17(金)

基準ライン

インジライン

押しやす割るまではロング。

押しは浅いもののシナリオ①で推移。

3/20(月)

基準ライン

インジライン

押し安値を割るまではロング。

押し安値を割ってシナリオ②に移行。

3/21(火)

基準ライン

インジライン

戻り高値抜けるまではショート。

戻りが浅いショートシナリオ①で推移。

コメント

タイトルとURLをコピーしました